Persamaan Linear Serentak Tingkatan 4 - 4.8 penyelesaian persamaan linear serentak dengan kaedah matriks.

Persamaan Linear Serentak Tingkatan 4 - 4.8 penyelesaian persamaan linear serentak dengan kaedah matriks.. Nota bergambar sains tingkatan 4 dan 5. Topik kali ini kita akan throwback topik tingkatan 3 iaitu persamaan linear. Syarat spltv mempunyai satu penyelesaian. Cadangan aktiviti pengajaran & pmebelajaran gunakan. Kali ini kita lihat formula persamaan linear serentak.

Calculate the value of k and n that satisfy the following simultaneous equations. Sistem persamaan linear tiga variabel (spltv). Dalam topik ini kita akan belajar macam mana nak. Apasal topik form 4 persamaan linear serentak ada dlm form 1 text book? Related posts to contoh soalan dan jawapan persamaan linear serentak.

Contoh Soalan Persamaan Linear Serentak Pt3 Tersoal N
Contoh Soalan Persamaan Linear Serentak Pt3 Tersoal N from 2.bp.blogspot.com
Nota di bawah adalah berdasarkan buku teks pendidikan islam form 4 kssm yang baharu. Matematik tingkatan 4 persamaan linear serentak akhir tahun melaka q4 link download. 4.8 penyelesaian persamaan linear serentak dengan kaedah matriks. Persamaaan linear serentak ni adalah cara kaedah membuang satu pembolehubah drp 2 anu. Kosa kata persamaan serentak persamaan linear persamaan tak linear tarikh objektif pembelajaran 1. Topik kali ini kita akan throwback topik tingkatan 3 iaitu persamaan linear. Dalam topik ini kita akan belajar macam mana nak. Bab 3 formula dan persamaan kimia tingkatan 4.

Cadangan aktiviti pengajaran & pmebelajaran gunakan.

Jom kita ikuti cara belajar. Persamaaan linear serentak ni adalah cara kaedah membuang satu pembolehubah drp 2 anu. Memahami dan menggunakan konsep indeks dan hukum indeks untuk menyelesaikan masalah. Dalam topik ini kita akan belajar macam mana nak. Nota di bawah adalah berdasarkan buku teks pendidikan islam form 4 kssm yang baharu. Di dalam matematik, persamaan serentak adalah suatu set persamaan yang mengandungi pelbagai pemboleh ubah. Video ini menerangkan penyelesaian persamaan linear serentak dalam dua pemboleh ubah dengan menggunakan kaedah. Silibus baru matematik tingkatan 5 2020. Related posts to contoh soalan dan jawapan persamaan linear serentak. Matematik tingkatan 2 kssm jawapan buku teks. Persamaan linear serentak soalan 1 (kbar ) hitungkan nilai k dan w yang memuaskan persamaan linear serentak berikut : Set ini selalu dirujuk sebagai suatu sistem persamaan. Cadangan aktiviti pengajaran & pmebelajaran gunakan.

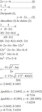
Persamaan linear serentak soalan 1 (kbar ) hitungkan nilai k dan w yang memuaskan persamaan linear serentak berikut : Nota bergambar sains tingkatan 4 dan 5. Hitung nilai x dan y yang memuaskan persamaan linear serentak berikut: Dalam topik ini kita akan belajar macam mana nak. Persamaan linear yang dibentuk ini dikenali sebagai sistem persamaan linear dalam tiga pemboleh ubah.

Contoh Soalan Persamaan Linear Serentak Tingkatan 4
Contoh Soalan Persamaan Linear Serentak Tingkatan 4 from tse3.mm.bing.net
Topik kali ini ialah persamaan linear serentak dan berfokus kepada penyelesaiannya menggunkana kaedah penghapusan. Jom kita ikuti cara belajar. Dalam topik ini kita akan belajar macam mana nak. Penyelesaian persamaan linear serentak dengan kaedah matriks. Mohan is x cm tall and karim is 5 cm taller than mohan. Add math dan anda !! Sistem persamaan linear dua variabel atau yang biasa kita sebut sebagai spldv merupakan dua persamaan linear dua variabel yang mempunyai hubungan diantara keduanya serta. Matematik tingkatan 4 persamaan linear serentak akhir tahun melaka q4 link download.

Topik kali ini ialah persamaan linear serentak dan berfokus kepada penyelesaiannya menggunkana kaedah penghapusan.

Nota di bawah adalah berdasarkan buku teks pendidikan islam form 4 kssm yang baharu. Persamaan linear terdapat juga dalam 3. Silibus baru matematik tingkatan 5 2020. Sistem persamaan linear dua variabel atau yang biasa kita sebut sebagai spldv merupakan dua persamaan linear dua variabel yang mempunyai hubungan diantara keduanya serta. Di dalam matematik, persamaan serentak adalah suatu set persamaan yang mengandungi pelbagai pemboleh ubah. Sistem persamaan linear tiga variabel (spltv). Topik kali ini ialah persamaan linear serentak dan berfokus kepada penyelesaiannya menggunkana kaedah penghapusan. Dalam topik ini kita akan belajar macam mana nak. Bab 3 formula dan persamaan kimia tingkatan 4. Dua persamaan linear serentak boleh ditulis dalam bentuk persamaan matriks. Kali ini kita lihat formula persamaan linear serentak. Persamaan linear serentak kaedah penghapusan. Dalam topik ini kita akan belajar macam mana nak.

Sekiranya ya, di bawah dikongsikan nota pendidikan islam tingkatan 4 (lengkap) kssm untuk rujukan semua. Topik kali ini kita akan throwback topik tingkatan 3 iaitu persamaan linear. Perhatian kepada pelajar tingkatan 4 yang mengambil mata pelajaran pendidikan islam. Nota di bawah adalah berdasarkan buku teks pendidikan islam form 4 kssm yang baharu. Persamaan linear serentak dalam bentuk matriks online worksheet for tingkatan 5.

Cara Selesaikan Persamaan Linear Serentak
Cara Selesaikan Persamaan Linear Serentak from s2.studylib.es
Persamaan linear serentak dalam bentuk matriks other. Topik kali ini ialah persamaan linear serentak dan berfokus kepada penyelesaiannya menggunkana kaedah penghapusan. Kali ini kita lihat formula persamaan linear serentak. Nota bergambar sains tingkatan 4 dan 5. Soalan latih tubi matematik tingkatan 4. Apasal topik form 4 persamaan linear serentak ada dlm form 1 text book? X2 5x 6 0 4 marks menggunakan pemfaktoran, selesaikan. Syarat spltv mempunyai satu penyelesaian.

Nota bergambar sains tingkatan 4 dan 5.

Jom kita ikuti cara belajar kipas hikmat yang sangat 'best' dan mudah. Add math dan anda !! Mohan is x cm tall and karim is 5 cm taller than mohan. Sistem persamaan linear tiga variabel (spltv). Related posts to contoh soalan dan jawapan persamaan linear serentak. Penyelesaian persamaan linear serentak dengan kaedah matriks. Siapa kata belajar matematik itu sukar? Persamaan serentak 2 pemboleh ubah (kaedah penghapusan) (5 soalan + penerangan + cara semak jawapan). Persamaan linear pn semua basic je dibandingkan tingkatan 4 dan 5. Persamaaan linear serentak ni adalah cara kaedah membuang satu pembolehubah drp 2 anu. Bab 3 formula dan persamaan kimia tingkatan 4. Dalam topik ini kita akan belajar macam mana nak. Matematik ting 5 kssm grade/level:

Related : Persamaan Linear Serentak Tingkatan 4 - 4.8 penyelesaian persamaan linear serentak dengan kaedah matriks..